茱莉亞酒坊有限公司 茱莉亞酒坊有限公司
  • 回首頁
  • 關於我們
  • 商品型錄
  • 最新消息
  • 銷售排行榜
  • 特價商品區
  • 聯絡我們

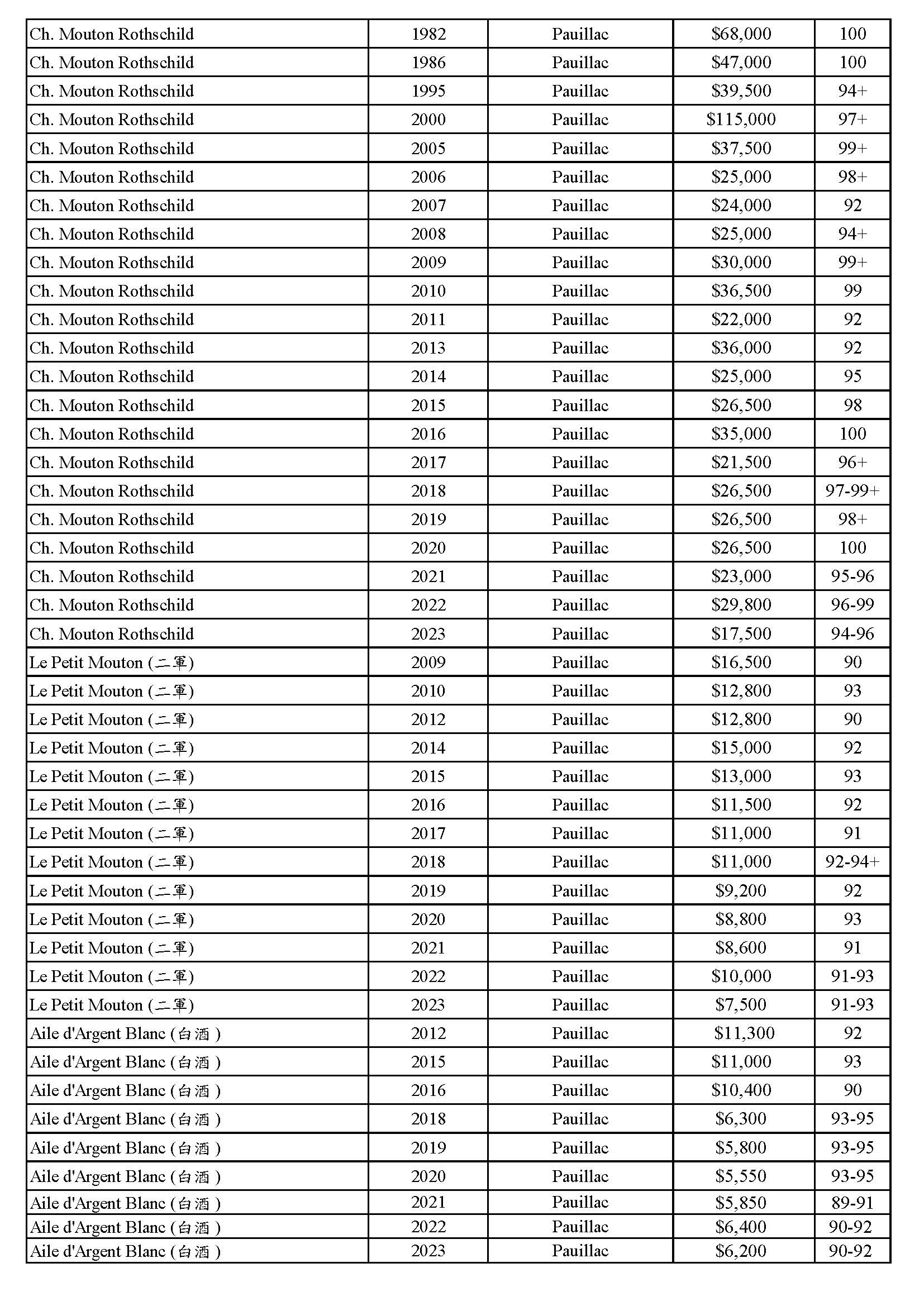
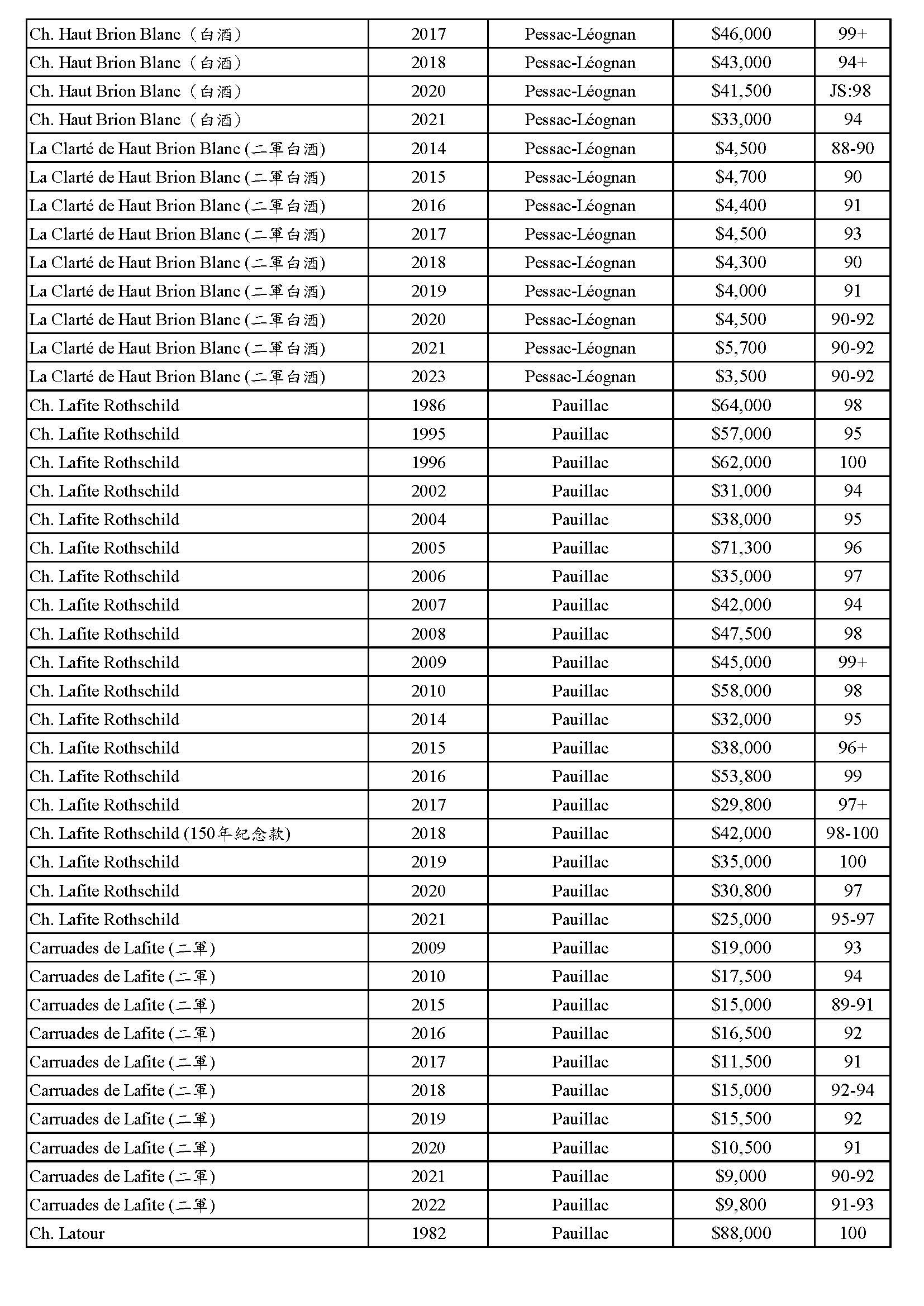
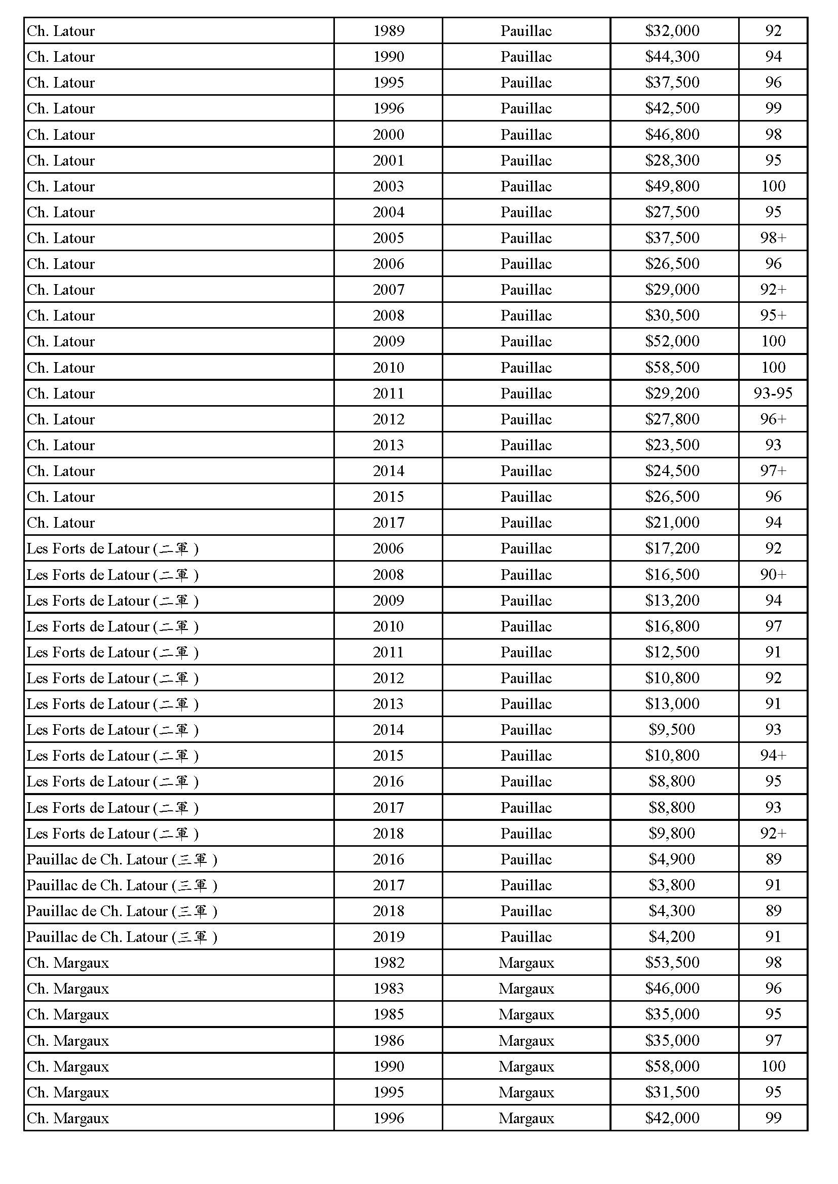
一級酒莊

  1. HOME
  2. 商品型錄
  3. 紅葡萄酒
  4. 法國
  5. 法國波爾多級數酒莊
  6. 級數酒莊報價
  7. 一級酒莊

商品型錄

  • 紅葡萄酒
  • 白葡萄酒
  • 粉紅酒
  • 香檳及氣泡酒
  • 威士忌
  • 白蘭地
  • 日本酒
  • 無酒精飲品
  • 特價商品區

茱莉亞酒坊有限公司 Julia Wine Shop Co., Ltd.

台北市中正區忠孝東路2段5號1樓
電話:(02) 7709 8880 (02) 2341 9090
營業時間:週一到週五AM:11:00-PM:8:00,例假日及國定假日公休

VIP 經理 朱嘉玲 Julia Chu
手機:(0935) 009 273 傳真:(02) 2321 8299
E-mail:juliachu9114@yahoo.com.tw

© 2022 茱莉亞酒坊有限公司. All Rights Reserved.

飲酒請勿開車 未滿十八歲者,禁止飲酒